• FOTOGRAFIJOS

    Naujausios

    • GALERIJOS NAUJAUSIOS
    • PELKĖS NAUJAUSIOS
    • DIENORAŠČIAI

    Geriausios

    DIENOS GERIAUSIOS
    SAVAITĖS GERIAUSIOS
    VISŲ METŲ GERIAUSIOS

  • BENDRUOMENĖ

    Autoriai

    • VISI AUTORIAI
    • MYLIMIAUSI AUTORIAI
    • AKTYVIAUSI VERTINTOJAI

    Komentarai

    • REKOMENDUOTI KOMENTARAI
    • ILGI KOMENTARAI
    • VISI KOMENTARAI

    Forumai

    • FOTOGRAFIJOS FORUMAS
    • PAPLEPĖKIM
    • FOTO TURGELIS
  • INFORMACIJA
    • APIE FOTOKŪDRĄ
    • NAUJIENŲ ARCHYVAS
    • TAISYKLĖS
    • D.U.K.
  • PRISIJUNGTI

    PRISIJUNGTI



    Prisiminti
    Pamiršau slaptažodį
 
 

kas yra menas?

Autorius: MP | 2008 10 27 15:24   |   Žiūrėta: 6981

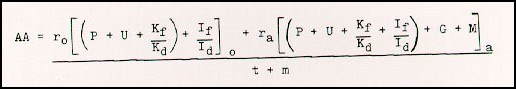
2008-10-27  MP: AA = Art Appreciation or aesthetic perception r = the readiness or mental set to receive or create (awareness, temperament, mood, motivation, attention span, receptivity, the situation, etc.) P = psycho-physical elements of perception, such as the optical system of man U = the unconscious of the mind K = knowledge of social origin and teachings, such as art education and morality I = individual perceptual and cognitive framework, for example his unique personality and existential position with life d = debilitates f = facilitates o = observer a = artist or creator G = goal or purpose of the aesthetic stimulus M = material or matter manipulation t = time passage of interaction/observation of art object and time's effect on the art stimulus m = medium used
2008-10-27  Dangus: blyn MP... dar pora tokiu tavo dienorasciu ir fotografuot nebenoresiu.
2008-10-27  Ramūnas Blavaščiūnas: hm, paziurejau tai ...... bendras vaizdas neblogas .... pradejus matematines vingrybes oriejau iki AA=ro ir paskui jau man galas ...... tad ziuriu i sita vaizdeli kaip i vaizduojamojo meno kurini, bet net nebandau pradeti spresti :)
2008-10-27  Kristina Petrošių: o viešpatėliau..:)
2008-10-27  vi.: ū, geras... o žinot apie kūrybiškumą, čia į temą gal... buvo atlikti tyrimai, kurie padodė, kad tai ne greitas kokios nors idėjos sugeneravimas, kaip daug kas galvoja (čia ne tik apie meną), bet labai ilgo darbo padarinys yra tie kūrybiški darbai.
2008-10-27  AA: AA = Meninis Įvertinimas ar estetinis suvokimas r = pasiruošimas ar protinis komplektas, kad gautų ar sukurtų (supratimą, temperamentą, nuotaiką, motyvaciją, dėmesio trukmę, imlumą, situaciją, ir taip toliau) P = psycho-fiziniai elementai suvokimo, tokie kaip optinė sistema vyro U = pasąmonė proto K = žinios socialinės kilmės ir mokymo, tokio kaip meninis išsimokslinimas ir moralė I = atskiras perceptual ir pažintinė struktūra, pavyzdžiui jo unikali asmenybė ir egzistencinė padėtis su gyvenimu d = silpnina f =, lengvina o = stebėtojas = menininkas ar kūrėjas G = tikslas ar tikslas estetinio stimulo M = medžiaga ar klausimo manipuliavimas t = laiko pasažas sąveikos/stebėjimo meninio objekto ir laiko padarinio meninio stimulo m = panaudotas vidurkis. Bent jau vel naujai pazvelgsiu i savo AA :D
2008-10-27  Svetlana Batura: mda... zinau tik tiek kad jeigu skliaustus atidarom, turim ir uzdaryt. Su jais cia viskas gerai. patikrinau. nu dar paziurejau ar pliusiukai viena linija issideste, nesokineja... irgi berods gerai... ovat zenklas"=" labai neteisingai nupiestas. Isdarko visas proporcijas. Aciu uz pamoka apie mena ;)

Dienoraštis patiko:
Ramūnas Blavaščiūnas
Kristina Petrošių
vi.
Svetlana Batura
AA
melancholija
M
hideo
batuda
Girmantas Bučas
Dangus
Ghe


 

Naujausi dienoraščiai